Foram encontradas 119 questões.
Considere a circunferência de centro ( 0 ; 0) e raio 5. A área do triângulo delimitado pela reta tangente à circunferência, no ponto ( 3 ; 4), e os eixos coordenados é, aproximadamente, igual a:
Provas
Questão presente nas seguintes provas
O volume de uma pirâmide regular de base quadrada é igual a 8
e a aresta da base é igual a 2 cm. Aumentando a altura em 3 cm, qual é o valor da aresta lateral da pirâmide regular de base quadrada obtida?
e a aresta da base é igual a 2 cm. Aumentando a altura em 3 cm, qual é o valor da aresta lateral da pirâmide regular de base quadrada obtida?Provas
Questão presente nas seguintes provas
Considere o losango ABCD. A diagonal 

Provas
Questão presente nas seguintes provas
26. A expressão
pode ser escrita como:
pode ser escrita como:Provas
Questão presente nas seguintes provas
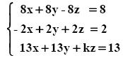
Dado o sistema

qual o valor de k, para que o sistema seja possível e determinado?

qual o valor de k, para que o sistema seja possível e determinado?
Provas
Questão presente nas seguintes provas
Se sen x = 0,8 e
, então, quanto vale sen(2x) ?
, então, quanto vale sen(2x) ?Provas
Questão presente nas seguintes provas
Quantas soluções há na equação tg(3x) = 1 para x no intervalo 

Provas
Questão presente nas seguintes provas
Uma partícula desloca-se com velocidade
(t em segundos). Depois de quanto tempo, a partícula atinge a velocidade máxima?
(t em segundos). Depois de quanto tempo, a partícula atinge a velocidade máxima?Provas
Questão presente nas seguintes provas
Observe o enunciado abaixo e responda a seguir.
Daquela poltrona bem velha e sem braços, o menino caiu e machucou seus braços.
Percebe-se que a palavra BRAÇOS aparece em dois momentos e com dois significados diferentes. A propriedade que as palavras têm de possuir mais de um significado dentro de um mesmo campo semântico é chamada de:
Daquela poltrona bem velha e sem braços, o menino caiu e machucou seus braços.
Percebe-se que a palavra BRAÇOS aparece em dois momentos e com dois significados diferentes. A propriedade que as palavras têm de possuir mais de um significado dentro de um mesmo campo semântico é chamada de:
Provas
Questão presente nas seguintes provas
- OrtografiaProblemas da Norma CultaUso dos "porquês"
- SemânticaSinônimos e Antônimos
- Interpretação de Textos
LEITE DERRAMADO (Chico Buarque)
Não sei por que você não me alivia a dor. Todo dia a senhora levanta a persiana com bruteza e joga sol no meu rosto. Não sei que graça pode achar nos meus esgares, é uma pontada cada vez que respiro. Às vezes aspiro fundo e encho os pulmões de um ar insuportável, para ter alguns segundos de conforto, expelindo a dor. Mas bem antes da doença e da velhice, talvez minha vida já fosse um pouco assim, uma dorzinha chata a me espetar o tempo todo e de repente uma lambada atroz. E qualquer coisa que eu recorde agora, vai doer, a memória é uma vasta ferida.
[...]
Eu próprio poderia arcar com viagem e tratamento no estrangeiro, se o seu marido não me tivesse arruinado. Poderia me estabelecer no estrangeiro, passar o resto dos meus dias em Paris. Se me desse na veneta, poderia morrer na mesma cama do Ritz onde dormi quando menino. Porque nas férias de verão o seu avô, meu pai, sempre me levava à Europa de vapor. Mais tarde, cada vez que eu via um deles ao largo, na rota da Argentina, chamava sua mãe e apontava: lá vai Arlanza!, o Cap Polonio!, o Lutétia!, enchia a boca para contar como era um transatlântico por dentro. Sua mãe nunca tinha visto um navio de perto, depois de casada ela mal saía de Copacabana. E quando lhe anunciei que iríamos em breve ao cais do porto, para receber o engenheiro francês, ela se fez de rogada. Porque você era recém-nascida, e ela não podia largar a criança e coisa e tal, mas logo tomou o bonde para cidade e cortou os cabelos à la garçonne.
[...]
E quando vi sua mãe naquele estado, falei, você não vai. Por quê, ela perguntou com voz fina, e não lhe dei satisfação, peguei meu chapéu e saí. Nem parei para pensar de onde vinha a minha raiva repentina, só senti que era alaranjada a raiva cega que tive da alegria dela. E vou deixar de falação porque a dor só faz piorar.
(Fonte: BUARQUE, Chico. Leite derramado. São
Paulo: Companhia das Letras, 2009. p. 10-12)
Observe a sequência de frases abaixo e responda a seguir.Não sei por que você não me alivia a dor. Todo dia a senhora levanta a persiana com bruteza e joga sol no meu rosto. Não sei que graça pode achar nos meus esgares, é uma pontada cada vez que respiro. Às vezes aspiro fundo e encho os pulmões de um ar insuportável, para ter alguns segundos de conforto, expelindo a dor. Mas bem antes da doença e da velhice, talvez minha vida já fosse um pouco assim, uma dorzinha chata a me espetar o tempo todo e de repente uma lambada atroz. E qualquer coisa que eu recorde agora, vai doer, a memória é uma vasta ferida.
[...]
Eu próprio poderia arcar com viagem e tratamento no estrangeiro, se o seu marido não me tivesse arruinado. Poderia me estabelecer no estrangeiro, passar o resto dos meus dias em Paris. Se me desse na veneta, poderia morrer na mesma cama do Ritz onde dormi quando menino. Porque nas férias de verão o seu avô, meu pai, sempre me levava à Europa de vapor. Mais tarde, cada vez que eu via um deles ao largo, na rota da Argentina, chamava sua mãe e apontava: lá vai Arlanza!, o Cap Polonio!, o Lutétia!, enchia a boca para contar como era um transatlântico por dentro. Sua mãe nunca tinha visto um navio de perto, depois de casada ela mal saía de Copacabana. E quando lhe anunciei que iríamos em breve ao cais do porto, para receber o engenheiro francês, ela se fez de rogada. Porque você era recém-nascida, e ela não podia largar a criança e coisa e tal, mas logo tomou o bonde para cidade e cortou os cabelos à la garçonne.
[...]
E quando vi sua mãe naquele estado, falei, você não vai. Por quê, ela perguntou com voz fina, e não lhe dei satisfação, peguei meu chapéu e saí. Nem parei para pensar de onde vinha a minha raiva repentina, só senti que era alaranjada a raiva cega que tive da alegria dela. E vou deixar de falação porque a dor só faz piorar.
(Fonte: BUARQUE, Chico. Leite derramado. São
Paulo: Companhia das Letras, 2009. p. 10-12)
(1) Porque nas férias de verão o seu avô, meu pai, sempre me levava à Europa de vapor.
(2) Porque você era recém-nascida [...].
(3) Por quê, ela perguntou com voz fina, e não lhe dei satisfação [...].
Comparando-as, percebe-se que:
Provas
Questão presente nas seguintes provas
Cadernos
Caderno Container