Foram encontradas 100 questões.
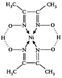
Uma amostra com uma quantidade desconhecida de um sal de níquel é analisada pelo método gravimétrico, em solução aquosa levemente básica, através dos compostos orgânicos DMG que formarão um precipitado com o níquel com especificidade quase total. O níquel dimetilglioxina tem cor vermelha-vivo e sua estrutura está representada na figura a seguir.

Diante do exposto, assinale a afirmativa correta.
Provas
“As reações nucleares são processos em que alguma alteração no caráter de um núcleo tem lugar, quer espontaneamente como na radioatividade, ou como resultado de bombardeio por partícula ou raio.”
Sobre os conceitos gerais das radiações nucleares, marque a afirmativa INCORRETA.
Provas
“Acidentes nucleares têm consequências graves e de longa duração para o meio ambiente e as populações próximas. Passados 25 anos do pior desastre nuclear da história, Chernobyl é ainda hoje uma cidade-fantasma na Ucrânia. Não é permitido ficar mais de 15 minutos nas imediações da antiga usina soviética, cujo reator explodiu em 1986, matando 30 funcionários em apenas 30 dias e contaminando toda a vida ao seu redor.
A exposição de material nuclear ao meio ambiente libera substâncias radioativas no ar e no solo. Essas substâncias contaminam plantas, rios, animais e pessoas em volta. Os dois elementos mais perigosos são o iodo radioativo e o césio, subprodutos da fissão nuclear do urânio. Em Chernobyl, o césio contaminou em cadeia o solo, a vegetação que extraía nutrientes deste solo, o gado que se alimentava desta vegetação e, por fim, as pessoas que tomaram o leite de vacas contaminadas. ‘A radiação não deixa o solo infértil, mas tudo que cresce ali acaba contaminado’, explica o engenheiro agrônomo Virgílio Franco, do Centro de Energia Nuclear na Agricultura da USP.”
Um dos grandes problemas desta contaminação é que os níveis de radioatividade podem permanecer por décadas; este fato ocorre devido à(ao)
Provas
Analise o gráfico a seguir.

Com base no gráfico apresentado, analise a estimativa do tempo de latência.
I. O período de aparecimento (detecção) do câncer após a exposição pode chegar até 40 anos.
II. Na leucemia, a frequência passa por um máximo entre 5 e 7 anos.
III. Na leucemia há um período de latência de 3 anos.
Está(ão) correta(s) apenas a(s) afirmativa(s)
Provas
Analise a seguinte imagem.

Analisando a figura anterior, marque a alternativa que apresenta corretamente os tipos de raios que causam os efeitos indicados.
Provas
Os efeitos biológicos provocados pela radiação ionizante são de natureza bastante variável e dependem de fatores como dose total recebida, se foi aguda ou crônica, se localizada ou de corpo inteiro, entre outros. Dentre as características gerais desses efeitos, assinale a sequência correta.
Provas
A radioatividade artificial foi descoberta pelo casal de cientistas franceses F. Joliot e I. Curie (filha de Marie Curie) ao bombardear alumínio por partículas alfa, obtendo a liberação de nêutrons e a formação de 30P. Dentre os processos relacionados, indique o que NÃO é empregado para produzir artificialmente radionuclídeos.
Provas
O comportamento dos efeitos biológicos que resultam em tumores cancerosos é descrito matematicamente da seguinte forma:
I. Para valores de doses muito baixas, por não ter dados experimentais inequívocos, supõe-se que a probabilidade de incidência de câncer não seja proporcional à dose absorvida.
II. Na região de doses elevadas, com dados obtidos das vítimas de Hiroshima e Nagasaki, acidentes radiológicos e experiências em laboratório, a probabilidade de incidência de câncer varia, na maioria dos casos, com o quadrado da dose.
III. Para doses muito elevadas, a probabilidade de indução de câncer decresce devido à alta frequência de morte celular, que impede a evolução para um câncer.
Está(ão) INCORRETA(S) apenas a(s) afirmativa(s)
Provas
A tabela apresenta alguns dos limites primários anuais de dose para o trabalhador e indivíduos do público adotados como referência no Brasil.

Com base na análise da tabela anterior, é correto afirmar que o(a)s
Provas
Um equipamento de medição da atividade de radionuclídeos emissores de radiação alfa, beta e gama, utilizando a técnica da cintilação líquida, é mostrado na figura a seguir.

De acordo com o princípio de funcionamento deste equipamento, é INCORRETO afirmar que
Provas
Caderno Container