Foram encontradas 40 questões.
Um comprimido contém 90 mg de ácido acetil-salicílico (C9H8O4). Quantas moléculas desse ácido há em cada comprimido?
(Dados: MA:. C = 12, O = 16, H = 1; Constante de Avogadro = 6,0 x 1023)
Provas
Questão presente nas seguintes provas
Dadas as formulas estruturais:
I. H3C – CH = C = CH2
II. H3C – CH2 – O – CH2 – CH3
III.
II. H3C – CH2 – O – CH2 – CH3
III.

IV. HC ≡ C – CH3
Qual a nomenclatura dos compostos I, II, III e IV, respectivamente:
Provas
Questão presente nas seguintes provas
Um pequeno risco a lápis usa, em média, 0,1 mg/cm2 de grafite. O número de átomos presente em um risco de 10 cm2 é:
(Dados: MA:. C = 12, Constante de Avogadro = 6,0 x 1023 átomos)
Provas
Questão presente nas seguintes provas
Em uma aula de química, foi pedido aos alunos para classificarem as funções dos seguintes compostos: HNO3, Al2O3, Ba(OH)2 e KMnO4. Assinale a alternativa CORRETA, respectivamente:
Provas
Questão presente nas seguintes provas

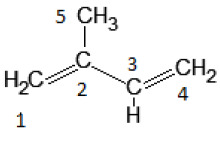
Quanto à hibridização, nas estruturas acima, os carbonos numerados são, respectivamente:
Provas
Questão presente nas seguintes provas
Assinale a alternativa INCORRETA:
Provas
Questão presente nas seguintes provas
Associe a Coluna I com a Coluna II e marque a alternativa CORRETA:
| COLUNA I | COLUNA II |
| I. H2S | a) oxiácido, monoácido, forte |
| II. HClO4 | b) oxiácido, diácido, forte |
| III. HI | c) oxiácido, monoácido, semi-forte |
| IV. HNO2 | d) hidrácido, monoácido, forte |
| V. H2SO4 | e) hidrácido, diácido, fraco |
A associação CORRETA é:
Provas
Questão presente nas seguintes provas
Considere as proposições:
I. !$ \sqrt[4] {32} = 2 \sqrt{2} !$
II. !$ \sqrt{ \sqrt{ \sqrt[3]{4096}}} =2 !$
III. !$ \sqrt[11]{-1} = -1 !$
III. !$ { \begin{pmatrix} { \large 3 \over 4} \end{pmatrix}}^{-2} = { \large 9 \over 16} !$
Assinale a alternativa que apresenta a quantidade de proposição(ões) CORRETA(S):
Provas
Questão presente nas seguintes provas
Um composto orgânico de fórmula molecular C5H8 pode ter as seguintes nomenclaturas:
I. 1,2-pentadieno
II. 1-pentino
III. 2-pentino
IV. Ciclopenteno
V. 1,3-pentadieno
II. 1-pentino
III. 2-pentino
IV. Ciclopenteno
V. 1,3-pentadieno
Assinale a alternativa CORRETA:
Provas
Questão presente nas seguintes provas
“Indicadores são substâncias que mudam de cor na presença de um ácido ou de uma base.” No dia a dia existem substâncias comuns que podem ser usadas como indicadores e um exemplo é o suco extraído do repolho roxo que misturado em algumas soluções (ácidas ou básicas) mudam de cor conforme escala abaixo:

As soluções testadas produziram coloração final conforme tabela abaixo:
| SOLUÇÃO TESTADA | COR FINAL |
| I. Amoníaco + indicador | Verde |
| II. Suco de laranja + indicador | Vermelha |
| III. Leite de magnésia + indicador | Azul |
| IV. Vinagre + indicador | Vermelho |
| V. Leite pasteurizado + indicador | Rosa |
De acordo com a coloração final, as soluções I, II, III, IV e V tem caráter A( ácida) ou B (básica), respectivamente:
Provas
Questão presente nas seguintes provas
Cadernos
Caderno Container