Foram encontradas 50 questões.
Assinale a opção que corresponde ao gráfico da função ƒ(x) = - 12x + 3x2 + 3, no plano xOy.
Provas
Questão presente nas seguintes provas
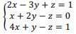
A solução do sistema linear apresentado acima é dada por
Provas
Questão presente nas seguintes provas
Um vendedor na praia vende o que ele chama de
guloseima gelada matematicamente perfeita: uma casquinha de
biscoito de chocolate, recheada de sorvete de creme e acrescida
de uma semibola de sorvete de morango. Conforme ilustra a
figura a seguir, a casquinha de biscoito tem o formato de um
cone circular reto, com raio de 3 cm e altura de 11 cm, e o
sorvete de morango tem a forma de uma semiesfera com raio de
3 cm sobre a base do cone.

A partir das informações precedentes, é correto afirmar que a área superficial total dessa guloseima é igual a

A partir das informações precedentes, é correto afirmar que a área superficial total dessa guloseima é igual a
Provas
Questão presente nas seguintes provas
Em um restaurante, os amigos Carlos, Mariana e Marcelo
pediram um peixe assado para o jantar. Carlos comeu 7/20 do
peixe, Mariana comeu
3/10 do peixe, e Marcelo comeu 15% do
peixe. Apesar de todos terem comido, ainda sobraram 315 g do
peixe. Nessa situação, o peixe servido aos amigos tinha
Provas
Questão presente nas seguintes provas
Se, durante horários de fluxo intenso em um hospital, 16 médicos
são capazes de realizar o atendimento de 96 pacientes em
2 horas, então o tempo necessário para que 10 médicos sejam
capazes de atender 270 pacientes é de
Provas
Questão presente nas seguintes provas
Uma empresa de hotelaria irá construir bangalôs em forma de
hexágonos regulares com lados de tamanho igual a 4 metros.
Desse modo, a área de cada um desses bangalôs será de
Provas
Questão presente nas seguintes provas
Uma empresa verificou que só haverá lucro na venda de 100 unidades de determinado produto se o seu preço p satisfizer à desigualdade - 10p2 + 480p - 4.320 > 0. Nesse caso, para que a empresa registre lucro na venda do produto, é necessário que
Provas
Questão presente nas seguintes provas
O setor de comunicação da prefeitura publicou um vídeo na
Internet que, no primeiro dia, teve 4.096 visualizações e, em cada
dia subsequente, o número de visualizações registradas era
sempre a metade do número do dia anterior. Nesse caso, ao final
do 10.º dia, a quantidade total de visualizações que o vídeo
obteve foi igual a
Provas
Questão presente nas seguintes provas
Quando chegam ao posto de saúde, os pacientes recebem senha
de atendimento, de forma aleatória, consistindo de um número
que varia de 1 a 50. Nessa situação, a probabilidade de o
primeiro paciente a receber uma senha com número múltiplo de 3
ou de 7 é igual a
Provas
Questão presente nas seguintes provas
Uma fila será formada por 4 homens e 4 mulheres. Assinale a
opção que apresenta o número de maneiras possíveis de se
organizar essa fila tal que as pessoas de sexo oposto fiquem
intercaladas.
Provas
Questão presente nas seguintes provas
Cadernos
Caderno Container