Magna Concursos

Foram encontradas 40 questões.

1033889 Ano: 2015
Disciplina: Matemática
Banca: SHDIAS
Orgão: Pref. São Sebastião-SP
Provas:

Calcule:

log2 (a - 1) + log2 ( a + 1) = 3

 

Provas

Questão presente nas seguintes provas
1033888 Ano: 2015
Disciplina: Matemática
Banca: SHDIAS
Orgão: Pref. São Sebastião-SP
Provas:
Quatro montadoras sendo elas: Fiat, Toyota, Honda e Ford possuem o seguinte percentual de colaboradoras femininas respectivamente, 40%, 50%, 25% e 30%. A cidade de São Sebastião irá selecionar aleatoriamente uma destas montadoras para ter uma sede na orla da praia. Desta forma, se um colaborador desta montadora for sorteado ao acaso para ganhar um carro 0km de sua montadora, a probabilidade de que esse colaborador seja do sexo feminino é de:
 

Provas

Questão presente nas seguintes provas
1033887 Ano: 2015
Disciplina: Matemática
Banca: SHDIAS
Orgão: Pref. São Sebastião-SP
Provas:

Observe o valor de cada letra (a;b;c):

a=9/4; b=√2; c=3√3

Assinale a alternativa correta:

 

Provas

Questão presente nas seguintes provas
1033886 Ano: 2015
Disciplina: Raciocínio Lógico
Banca: SHDIAS
Orgão: Pref. São Sebastião-SP
Provas:

Observe o quadro abaixo:

enunciado 1033886-1

Veja que algumas casas foram preenchidas pelos símbolos: % ¨¨ $ ! # @ .

Para encontrar os símbolos restantes das casas o quadro deverá ser preenchido de modo que cada linha e cada coluna tenha sempre símbolos diferentes, desta forma o que substituirá o ponto de interrogação?

 

Provas

Questão presente nas seguintes provas
1033885 Ano: 2015
Disciplina: Raciocínio Lógico
Banca: SHDIAS
Orgão: Pref. São Sebastião-SP
Provas:

Marque a opção que completa sequência, considerando as letras no alfabeto K, W e Y:

B3 – E6 – I10

 

Provas

Questão presente nas seguintes provas
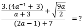
1033884 Ano: 2015
Disciplina: Matemática
Banca: SHDIAS
Orgão: Pref. São Sebastião-SP
Provas:

Calcule a expressão seguinte substituindo a por 2:

enunciado 1033884-1

O valor da expressão será:

 

Provas

Questão presente nas seguintes provas
1033883 Ano: 2015
Disciplina: Português
Banca: SHDIAS
Orgão: Pref. São Sebastião-SP
Provas:
Assinale a alternativa que contém uma conjunção coordenativa explicativa:
 

Provas

Questão presente nas seguintes provas
1033882 Ano: 2015
Disciplina: Português
Banca: SHDIAS
Orgão: Pref. São Sebastião-SP
Provas:
Assinale a alternativa incorreta a respeito da definição e do exemplo de cada figura de construção:
 

Provas

Questão presente nas seguintes provas
1033881 Ano: 2015
Disciplina: Português
Banca: SHDIAS
Orgão: Pref. São Sebastião-SP
Provas:

Observe os itens seguintes:

I. O bolo de chocolate, assei-o por 20 minutos.

II. O dinheiro, Alice o trazia em suas mãos.

Assinale a alternativa em que o(s) item(s) apresenta(m) objeto direto pleonástico:

 

Provas

Questão presente nas seguintes provas
1033880 Ano: 2015
Disciplina: Português
Banca: SHDIAS
Orgão: Pref. São Sebastião-SP
Provas:

Observe os itens e as preposições em destaque abaixo:

I. A menina ficou mais forte com as aulas de musculação.

II. As flores foram dadas com muito amor.

III. O Corinthians jogou com o Palmeiras ontem.

As preposições estabelecem respectivamente:

 

Provas

Questão presente nas seguintes provas