Magna Concursos

Foram encontradas 30 questões.

3091739 Ano: 2023
Disciplina: Matemática
Banca: COTEC
Orgão: Pref. Unaí-MG
Provas:
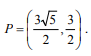
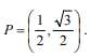
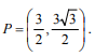
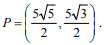
Considere o plano cartesiano. Um ponto P, no primeiro quadrante, tem distância 5 da origem O = (0,0). Sabe-se que o segmento OP faz um ângulo 30º com o eixo x. Nesse caso, pode-se afirmar que as coordenadas de P é

Dados: sen(30º) = 1/2 e cos(30º) = √3/2
 

Provas

Questão presente nas seguintes provas
3091738 Ano: 2023
Disciplina: Matemática
Banca: COTEC
Orgão: Pref. Unaí-MG
Provas:
Considere a função real f(x) = 2x²-6x+1. Pode-se afirmar que a soma das raízes é
 

Provas

Questão presente nas seguintes provas
3091737 Ano: 2023
Disciplina: Matemática
Banca: COTEC
Orgão: Pref. Unaí-MG
Provas:
Se a função real ƒ(x) = 102x , então a função inversa de ƒ é
 

Provas

Questão presente nas seguintes provas
3091736 Ano: 2023
Disciplina: Matemática
Banca: COTEC
Orgão: Pref. Unaí-MG
Provas:
Considere a matriz A= Enunciado 3377437-1 e a matriz B=A². Qual o valor do elemento Enunciado 3377437-2?
 

Provas

Questão presente nas seguintes provas
3091735 Ano: 2023
Disciplina: Matemática
Banca: COTEC
Orgão: Pref. Unaí-MG
Provas:
Considere os números a1, a2, a3, a4, a5, a6, a7, a8, a9 em progressão aritmética. Sabendo-se que a7=59 e a9=77, pode-se afirmar que a5 é
 

Provas

Questão presente nas seguintes provas
3091734 Ano: 2023
Disciplina: Matemática
Banca: COTEC
Orgão: Pref. Unaí-MG
Provas:
Considere, no plano cartesiano, o ponto C = (3,2) e P = (5,3). Sabe-se que C é o centro de uma circunferência e P pertence à circunferência. Nesse caso, pode-se afirmar que a área dessa circunferência é
 

Provas

Questão presente nas seguintes provas
3091733 Ano: 2023
Disciplina: Matemática
Banca: COTEC
Orgão: Pref. Unaí-MG
Provas:
Um cilindro circular reto de volume 18π tem altura 2. Nesse caso, pode-se afirmar que a área lateral desse cilindro é
 

Provas

Questão presente nas seguintes provas
3091732 Ano: 2023
Disciplina: Matemática
Banca: COTEC
Orgão: Pref. Unaí-MG
Provas:
Um polinômio P(x) dividido por D(x) = x³+2 resultou em quociente Q(x) = x-1 e resto R(x) = x. Logo, pode-se afirmar que
 

Provas

Questão presente nas seguintes provas
3091731 Ano: 2023
Disciplina: Matemática
Banca: COTEC
Orgão: Pref. Unaí-MG
Provas:
Considere o número 287, no sistema decimal. Se o número 287 equivale a x no sistema hexadecimal, então x é
 

Provas

Questão presente nas seguintes provas
3091730 Ano: 2023
Disciplina: Matemática
Banca: COTEC
Orgão: Pref. Unaí-MG
Provas:
Em uma padaria, 10 funcionários trabalharam 9 horas por dia e finalizaram um pedido em 4 dias. Considerando igual produção e trabalho, em quantos dias aproximadamente, 7 funcionários, trabalhando 8 horas por dia, teriam finalizado o pedido?
 

Provas

Questão presente nas seguintes provas