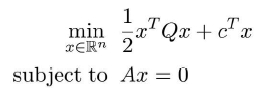
Seja o problema geral de programação quadrática sujeito a restrições de igualdade e escrito em forma matricial, com as matrizes Q e A e o vetor c como parâmetros, isto é

As condições de otimalidade de primeira ordem (KKT) para o problema acima, resulta em: