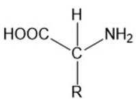
A estrutura geral de um aminoácido pode ser representada pela seguinte estrutura.
Observa-se que o carbono central está ligado a um grupo amino (–NH2), a um grupo carboxila (–COOH), a um átomo de hidrogênio e a uma cadeia lateral variável (R). Com base nessa estrutura, o caráter anfótero dos aminoácidos decorre do fato de que essas moléculas:
Observa-se que o carbono central está ligado a um grupo amino (–NH2), a um grupo carboxila (–COOH), a um átomo de hidrogênio e a uma cadeia lateral variável (R). Com base nessa estrutura, o caráter anfótero dos aminoácidos decorre do fato de que essas moléculas: