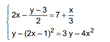
Observe o sistema de equações, nas incógnitas x e y:

Organizado em forma de equação matricial, esse sistema de equações é equivalente a:
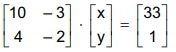
Observe o sistema de equações, nas incógnitas x e y:

Organizado em forma de equação matricial, esse sistema de equações é equivalente a: