Acerca da técnica de cromatografia gasosa, analise as
afirmações a seguir. Marque V, para verdadeiras, e F,
para falsas:
(__)A cromatografia gasosa é um método físico de separação de componentes presentes em uma mistura. Essa separação é realizada por meio de uma fase móvel gasosa sobre um adsorvente estacionário.
(__)O detector por captura de elétrons é baseado na detecção de íons formados durante a combustão de compostos orgânicos em chama de hidrogênio. A geração desses íons é proporcional à concentração de espécies orgânicas no fluxo de gás de amostra.
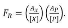
(__)Considerando que se está trabalhando dentro da faixa de resposta linear de um detector de um cromatógrafo a gás, a concentração de um analito pode ser obtida a partir da equação:
(__)O detector por captura de elétrons é pouco sensível a hidrocarbonetos.
(__)A fase estacionária é sempre formada por um adsorvente sólido, mas nunca por um líquido adsorvido em um suporte.
Assinale a alternativa que apresenta a sequência correta:
(__)A cromatografia gasosa é um método físico de separação de componentes presentes em uma mistura. Essa separação é realizada por meio de uma fase móvel gasosa sobre um adsorvente estacionário.
(__)O detector por captura de elétrons é baseado na detecção de íons formados durante a combustão de compostos orgânicos em chama de hidrogênio. A geração desses íons é proporcional à concentração de espécies orgânicas no fluxo de gás de amostra.
(__)Considerando que se está trabalhando dentro da faixa de resposta linear de um detector de um cromatógrafo a gás, a concentração de um analito pode ser obtida a partir da equação:
(__)O detector por captura de elétrons é pouco sensível a hidrocarbonetos.
(__)A fase estacionária é sempre formada por um adsorvente sólido, mas nunca por um líquido adsorvido em um suporte.
Assinale a alternativa que apresenta a sequência correta: