Analise os itens a seguir:
I. A Média Aritmética Simples fornece um resultado adequado caso os valores do conjunto não sejam uniformes, sendo o melhor método para ser aplicado nesse caso.
II. No cálculo da Média Aritmética Simples, os elementos do conjunto possuem pesos distintos.
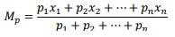
III. A Média Aritmética Ponderada é calculada com a utilização de valores chamados pesos; para calcular a média ponderada, obedecemos à seguinte fórmula:
A partir da análise dos itens acima, assinale a alternativa correta.
I. A Média Aritmética Simples fornece um resultado adequado caso os valores do conjunto não sejam uniformes, sendo o melhor método para ser aplicado nesse caso.
II. No cálculo da Média Aritmética Simples, os elementos do conjunto possuem pesos distintos.
III. A Média Aritmética Ponderada é calculada com a utilização de valores chamados pesos; para calcular a média ponderada, obedecemos à seguinte fórmula:
A partir da análise dos itens acima, assinale a alternativa correta.