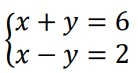
Resolva o sistema linear abaixo. Em seguida, assinale a alternativa contendo a resposta CORRETA.

Provas
Questão presente nas seguintes provas
Professor do Ensino Fundamental - Matemática
40 Questões
Resolva o sistema linear abaixo. Em seguida, assinale a alternativa contendo a resposta CORRETA.
