Você está estudando matemática para concursos
públicos e, em meio aos diversos exercícios que
estava resolvendo, se deparou com o seguinte
problema:
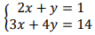
Dado o sistema de equações abaixo, encontre todas as soluções do sistema:
Assinale a alternativa que indica o par ordenado que representa a solução desse sistema de equações.
Dado o sistema de equações abaixo, encontre todas as soluções do sistema:
Assinale a alternativa que indica o par ordenado que representa a solução desse sistema de equações.
Provas
Questão presente nas seguintes provas
Contador
50 Questões
Dentista
50 Questões
Escriturário
40 Questões
Fiscal de Obras
40 Questões
Fonoaudiólogo
50 Questões
Médico - Cardiologia
50 Questões
Médico - Clínica Geral (Plantonista)
50 Questões
Médico - Dermatologia
50 Questões
Médico - Endocrinologia
50 Questões
Médico - Geriatria
50 Questões
Médico - Ginecologia e Obstetrícia
50 Questões
Médico - Infectologia
50 Questões
Médico - Neurologia
50 Questões
Médico - Oftalmologia
50 Questões
Médico - Ortopedia
50 Questões
Médico - Otorrinolaringologia
50 Questões
Médico - Pediatria
50 Questões
Médico - Pediatria (Plantonista)
50 Questões
Médico - Pneumologia
50 Questões
Médico - Reumatologia
50 Questões
Médico - Vascular
50 Questões
Médico do Trabalho
50 Questões
Preparador Físico
50 Questões
Professor da Educação Básica - Ciências
50 Questões
Professor da Educação Básica - Geografia
50 Questões
Professor da Educação Básica - Português
50 Questões
Professor da Educação Infantil
50 Questões
Psicólogo
50 Questões
Técnico de Enfermagem
40 Questões
Técnico de Farmácia
40 Questões