Magna Concursos
3731591 Ano: 2025
Disciplina: Engenharia Civil
Banca: VUNESP
Orgão: Pref. Itatiba-SP
Provas:

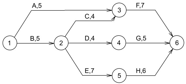
A reforma de uma escola pública foi planejada de acordo com o cronograma PERT-CPM da figura a seguir:

Enunciado 4492968-1

Dados:

– as atividades são representadas por letras, seguidas de sua duração em semanas.

Com a previsão do início do ano letivo e, portanto, para garantir a entrega da obra de reforma da escola dentro do cronograma planejado, as atividades que não podem atrasar são:

 

Provas

Questão presente nas seguintes provas

Engenheiro Civil

50 Questões