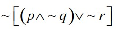
As Leis de Morgan permitem transformar negações de conjunções e disjunções. Com base nesse conhecimento e nas seguintes proposições simples:
· p: João é pontual.
· q: Maria é responsável.
· r: Anna não falta às reuniões.
Considere a proposição composta:

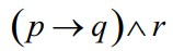
Qual das alternativas apresenta uma proposição logicamente equivalente à expressão acima?