Magna Concursos
3877737 Ano: 2025
Disciplina: TI - Desenvolvimento de Sistemas
Banca: UFSM
Orgão: UFSM
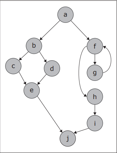
Complexidade ciclomática é uma métrica de software, fundamentada na teoria dos grafos, que fornece uma medida quantitativa da complexidade lógica de um programa. 
Enunciado 4772876-1
Com base no grafo apresentado, assinale a alternativa que indica a complexidade ciclomática correta.
 

Provas

Questão presente nas seguintes provas

Analista de TI - Inteligência Artificial

50 Questões