A figura ilustra a instalação de um sonar na proa de um navio.

(https://images.app.goo.gl/w28e6JD4GWSAjWm7A. Adaptado)
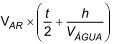
O ultrassom percorre, no ar, a distância h e, na água, a distância H, gastando, para ir do sonar ao fundo do mar e retornar a ele, um tempo t. Dado que Var e Vágua representam, respectivamente, a velocidade do som no ar e na água, a profundidade do mar H é corretamente determinada pela expressão