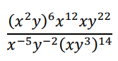
Ao simplificar a expressão abaixo, qual é a expressão obtida?

Provas
Questão presente nas seguintes provas
Agente Comunitário de Saúde
40 Questões
Agente de Combate às Endemias
40 Questões
Monitor de Ensino
40 Questões
Monitor de Transporte Escolar
40 Questões