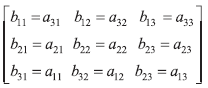
Qualquer elemento de uma matriz X pode ser representado por xij, onde i representa a linha e j a coluna em que esse elemento se localiza. A partir de uma matriz A (aij), de terceira ordem, constrói-se a matriz B(bij), também de terceira ordem, dada por:

Sabendo-se que o determinante da matriz A é igual a 100, então o determinante da matriz B é igual a:
Provas
Questão presente nas seguintes provas
Auditor de Finanças e Controle - Controle Interno
166 Questões
Auditor de Finanças e Controle - Infraestrutura
167 Questões
Auditor de Finanças e Controle - Saúde
167 Questões
Auditor de Finanças e Controle - TI/Desenvolvimento
167 Questões
Auditor de Finanças e Controle - TI/Infraestrutura
167 Questões