ATENÇÃO!
• Para responder à questão, as funções reais de variável real consideradas são:

• Os domínios e os conjuntos imagem (ou conjunto de valores) destas funções são identificados por: Dom(f), Im(f), Dom(g) e Im(g) respectivamente.
• R representa o conjunto dos números reais.
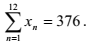
A sequência de números reais (xn) definida por x1 = x2 = 1 e para n > 2, xn = xn-1 + xn-2 é chamada de sequência de Fibonacci em homenagem a Leonardo de Pisa (1170-1250), filho de Bonaccio, e por isso apelidado de Fibonacci.
Sobre a sequência de Fibonacci, é correto afirmar que