Magna Concursos
981295 Ano: 2015
Disciplina: Matemática
Banca: FUMARC
Orgão: Pref. Belo Horizonte-MG
Provas:
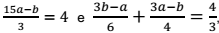
Se enunciado 981295-1 então é CORRETO afirmar que o valor de enunciado 981295-2 é igual a:
 

Provas

Questão presente nas seguintes provas

Assistente Administrativo

60 Questões