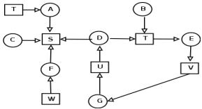
A situação de deadlock pode ser modelada a partir do uso de grafos dirigidos. O arco de um recurso (nodo quadrado) para um processo (nodo em círculo) indica que o recurso foi previamente requisitado, alocado e que está atualmente sendo usado pelo referido processo. Um arco de um processo para um recurso indica que o processo está correntemente bloqueado esperando pelo referido recurso.
Analise o grafo de alocação de recurso acima e marque a alternativa CORRETA que apresenta os processos que estão em situação de deadlock.

Analise o grafo de alocação de recurso acima e marque a alternativa CORRETA que apresenta os processos que estão em situação de deadlock.
