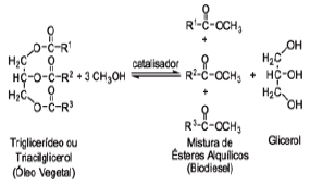
O biodiesel é uma mistura de ésteres alquílicos que pode ser obtido através da transesterificação de triglicerídeos como mostra a reação abaixo (Fig. 1). Essa reação ocorre basicamente em três etapas, nas quais o triglicerídeo se transforma em diglicerídeo, que, por sua vez, forma o monoglicerídeo e finda por formar o glicerol. Em cada uma dessas três etapas, uma molécula de biodiesel é formada. A figura 2 mostra o mecanismo de reação da primeira etapa. Dentre as afirmações abaixo, assinale a alternativa incorreta.
Figura 1

Figura 2

Fonte: MARQUES, M. V. et al; Analytica, n. 33, p. 72-87, fev/mar 2008