Magna Concursos
78728 Ano: 2005
Disciplina: Desenho Técnico e Industrial
Banca: CESGRANRIO
Orgão: Petrobrás

Enunciado 3322510-1

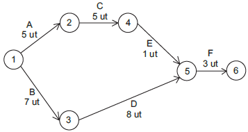
A figura acima apresenta um diagrama de rede PERT/CPM. As atividades a serem executadas são representadas por letras maiúsculas, juntamente com os seus tempos de execução (dados em unidades de tempo – ut). As atividades que, caso sofram atrasos, acarretarão também atrasos na conclusão do serviço são:

 

Provas

Questão presente nas seguintes provas