Magna Concursos
1748356 Ano: 2018
Disciplina: Engenharia Elétrica
Banca: IF-SP
Orgão: IF-SP

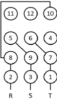
Considere um motor de 12 pontas, assinale a alternativa que indique o fechamento para 380 V, trifásico.

 

Provas

Questão presente nas seguintes provas

Professor PEBTT - Eletrônica e Mecatrônica

40 Questões