Magna Concursos
601044 Ano: 2019
Disciplina: Engenharia Civil
Banca: VUNESP
Orgão: Pref. Campinas-SP
Provas:

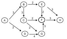
Ao planejar e programar um serviço de engenharia, construiu-se o diagrama da figura representando os eventos por letras nos círculos, e a duração das atividades em semanas entre os eventos junto das setas.

enunciado 601044-1

O tempo mínimo para execução desse serviço de engenharia é de

 

Provas

Questão presente nas seguintes provas