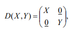
Denote por Μn o espaço das matrizes !$ n \times n !$ com entradas !$ a_{ij} !$ ∈ R. Seja !$ D :Μ_2 ×Μ_2 → Μ_4 !$ a aplicação dada por

em que 2 0∈Μ é identicamente nula. Seja A a matriz da aplicação linear !$ L : R^2 → R^2 !$ , dada por !$ L(x, y) = ( y − x, y) !$. Se !$ B = D(A, A ) !$ julgue a afirmativa:
Item 0: O polinômio característico de A é dado por !$ p(t)= - (1-t^2) !$