- Química InorgânicaSoluções e Substâncias InorgânicasPropriedades Coligativas: Tonoscopia, Ebulioscopia, Crioscopia e Pressão Osmótica.
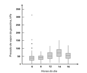
A medição da pressão de vapor da gasolina serve para avaliar a sua volatilidade, garantindo que o combustível funcione corretamente e de forma segura em diferentes condições climáticas. Após diversas medidas, foi construído um gráfico boxplot comparativo sobre as pressões de vapor para veículos de uma região em função do dia.

Em relação aos resultados apresentados no gráfico é correto afirmar que os resultados
Provas
Questão presente nas seguintes provas