Texto para o item.
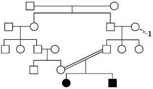
Um dos pilares da biotecnologia é a genética. Apesar de as primeiras aplicações da genética terem ocorrido há milênios, como resultado de trabalhos de agricultores anônimos, a teoria da hereditariedade e a área do conhecimento denominada genética só foram postuladas após o redescobrimento do trabalho pioneiro de Gregor Mendel, desenvolvido no século XVIII. Em um de seus experimentos históricos, Mendel trabalhou com ervilhas que tinham sementes com cores diferentes, verde ou amarela. As conclusões de Mendel, associadas ao conhecimento atual, permitem afirmar que existem duas versões do gene responsável pela cor da semente de ervilha: versão 1 e versão 2. No caso da ervilha, que é diplóide, cada planta genitora contribui com uma versão desse gene para cada descendente. A partir de então, muitos mistérios da hereditariedade passaram a fazer sentido, como a transmissão de geração a geração de certas doenças, entre elas a osteogênese imperfeita, doença autossômica recessiva que causa fragilidade óssea, também conhecida como ossos de cristal. A figura abaixo ilustra o heredograma de uma família afetada por essa doença, em que os indivíduos que a possuem estão representados por símbolos com preenchimento preto. Nessa família, o alelo relacionado com essa doença não é uma mutação nova.

Considerando as informações do texto acima, julgue o item a seguir.
A consanguinidade entre os pais diminui a probabilidade de homozigose para características recessivas.