Magna Concursos
1431145 Ano: 2010
Disciplina: TI - Desenvolvimento de Sistemas
Banca: UFRN
Orgão: UFRN
Provas:

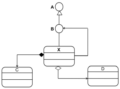
A Figura abaixo representa um diagrama de classes em UML:

Enunciado 1431145-1

Em relação ao diagrama, é correto afirmar que a

 

Provas

Questão presente nas seguintes provas

Analista de TI

30 Questões