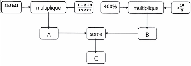
O aluno Brasil adora Matemática e montou o seguinte esquema de operações:

Nesse esquema montado pelo aluno Brasil, qual o valor numérico de C?
O aluno Brasil adora Matemática e montou o seguinte esquema de operações:

Nesse esquema montado pelo aluno Brasil, qual o valor numérico de C?