Magna Concursos
498268 Ano: 2012
Disciplina: Matemática
Banca: CEPERJ
Orgão: DEGASE
Provas:
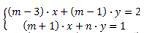
Para que o sistema de equações enunciado 498268-1 admita infinitas soluções para x e y, m e n devem valer, respectivamente:
 

Provas

Questão presente nas seguintes provas

Arquivista

50 Questões

Assistente Social

50 Questões

Bibliotecário

50 Questões

Contador

50 Questões

Enfermeiro

50 Questões

Enfermeiro do Trabalho

50 Questões

Farmacêutico

50 Questões

Médico do Trabalho

50 Questões

Pedagogo

50 Questões

Professor - Educação Física

50 Questões

Psicólogo

50 Questões