Magna Concursos
1106099 Ano: 2016
Disciplina: Biologia
Banca: AOCP
Orgão: IF-BA
Provas:

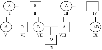
Observe o heredograma que mostra o fenótipo sanguíneo de uma família e assinale a alternativa correta.


Enunciado 1106099-1

 

Provas

Questão presente nas seguintes provas

Professor PEBTT - Biologia

50 Questões