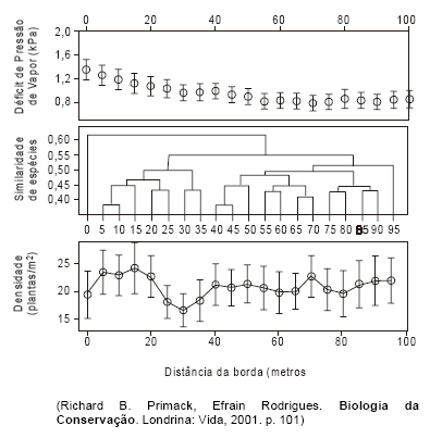
A largura da borda de um fragmento florestal é um dado vital para o planejamento, legislação e manejo de paisagens. Em 1998 foi realizado um estudo de bordas no norte do Paraná, uma paisagem homogênea do ponto de vista ambiental (solo, clima, altitude) e de histórico de perturbação. Foram avaliadas 49 bordas em 19 fragmentos de 0,4 a 650 hectares. Os resultados são apresentados nas figuras abaixo.

Os resultados indicam que nos parâmetros analisados