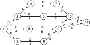
Considere o cronograma PERT-CPM de uma obra de construção civil.

No cronograma PERT-CPM, as letras indicam as atividades cujos tempos, em dias, estão indicados abaixo das letras. A folga possível no caminho das atividades A, C, F, J e N, em dias, é

No cronograma PERT-CPM, as letras indicam as atividades cujos tempos, em dias, estão indicados abaixo das letras. A folga possível no caminho das atividades A, C, F, J e N, em dias, é