Magna Concursos
405537 Ano: 2017
Disciplina: Engenharia Eletrônica
Banca: IFB
Orgão: IFB

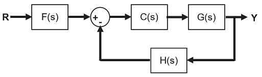
Determine a relação entre Y e R no sistema a seguir.

Enunciado 405537-1

 

Provas

Questão presente nas seguintes provas

Professor PEBTT - Mecatrônica

50 Questões