Magna Concursos
1706829 Ano: 2001
Disciplina: Matemática
Banca: FGV
Orgão: SPTrans
Provas:

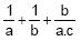
A equação x3 -4x2 -4x-16-0 tem raízes a, b e c, tais que a = b + c. O valor de Enunciado 1706829-1 é

 

Provas

Questão presente nas seguintes provas

Especialista em Transporte

60 Questões