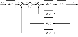
Um sistema de controle é representado conforme o diagrama de
blocos a seguir:

Simplificando-se esse diagrama chega-se ao diagrama:

A função de A é:

Simplificando-se esse diagrama chega-se ao diagrama:

A função de A é:
Provas
Questão presente nas seguintes provas
Analista Judiciário - Engenharia Eletrônica
70 Questões