Como relação a derivada e integral, avalie se as afirmações abaixo são falsas ou verdadeiras.
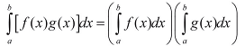
I) Se f e g forem contínuas em [a,b], então:

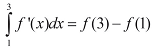
II) Se f'(x) for contínua em [1,3], então:

III) Se uma função é contínua em todos os pontos ela é derivável em todos os pontos.
IV) É possível construir uma função que não seja derivável em 0, porém com a integral de – 1 a 1 dessa função exista.
As seguintes afirmações são VERDADEIRAS: