- Mecânica ClássicaCinemática
- Mecânica ClássicaDinâmicaQuantidade de Movimento, Impulso e ColisõesImpulso e Quantidade de Movimento
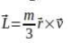
Duas partículas de massas m1 = m e m2 = 2m formam um sistema isolado. Seja
a velocidade da partícula de massa m2 em relação a m1 e
o vetor de posição de m2 em relação a m1. O momento angular total do sistema relativo ao
centro de massa é:
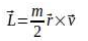
a velocidade da partícula de massa m2 em relação a m1 e
o vetor de posição de m2 em relação a m1. O momento angular total do sistema relativo ao
centro de massa é: