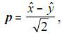
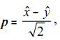
Considere que
sejam equações de duas vibrações harmônicas simples perpendiculares, e que a superposição dessas vibrações seja representada pela seguinte expressão.

Suponha que essa relação matemática descreva os estados de polarização de uma radiação luminosa, com intensidade
que se propaga na direção z e que pode interagir com outros elementos óticos. Com base nessas informações, assinale a opção correta.

Suponha que essa relação matemática descreva os estados de polarização de uma radiação luminosa, com intensidade
Provas
Questão presente nas seguintes provas