Magna Concursos
1834156 Ano: 2013
Disciplina: Engenharia Elétrica
Banca: VUNESP
Orgão: DCTA
Provas:

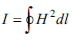
A Lei de Ampère é definida como (sendo H = campo magnético, dl = elemento de comprimento infinitesimal e I = corrente):

 

Provas

Questão presente nas seguintes provas

Tecnologista Pl - Elétrica

70 Questões