Magna Concursos
3513982 Ano: 2025
Disciplina: Matemática
Banca: FACET Concursos
Orgão: Pref. Pedro Velho-RN
Provas:

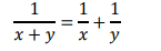
Joãozinho teve um sonho que a expressão

Enunciado 4205177-1

era verdadeira para todos x, y números reais não nulos. Quantos pares de números reais (x, y) satisfazem o sonho de Joãozinho ?

 

Provas

Questão presente nas seguintes provas

Professor - Matemática

40 Questões