1309085
Ano: 2015
Disciplina: TI - Desenvolvimento de Sistemas
Banca: CAIP-IMES
Orgão: Pref. Botucatu-SP
Disciplina: TI - Desenvolvimento de Sistemas
Banca: CAIP-IMES
Orgão: Pref. Botucatu-SP
Provas:
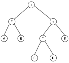
Considerando a árvore de expressões abaixo.

A busca pelo método pré-ordem da árvore acima, resulta em: