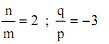
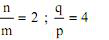
Sejam as funções y = mx + n e y = px + q, cujos gráficos estão representados a seguir:

Com base nos gráficos, marque a alternativa correta:

Com base nos gráficos, marque a alternativa correta:
Provas
Questão presente nas seguintes provas
Atendente de Farmácia
40 Questões
Fiscal Municipal
40 Questões
Técnico de Informática
40 Questões