852545
Ano: 2014
Disciplina: TI - Desenvolvimento de Sistemas
Banca: VUNESP
Orgão: Desenvolve-SP
Disciplina: TI - Desenvolvimento de Sistemas
Banca: VUNESP
Orgão: Desenvolve-SP
Provas:
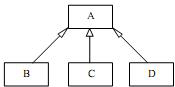
Considere o seguinte diagrama de classes da UML 2.0:

Com base nesse diagrama, é correto afirmar que

Com base nesse diagrama, é correto afirmar que