Magna Concursos
1998315 Ano: 2020
Disciplina: Matemática
Banca: Excelência
Orgão: Pref. Taubaté-SP
Provas:

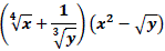
Reduzindo os radicais a potências de expoentes fracionários, simplifique a expressão algébrica a seguir:

Enunciado 1998315-1

 

Provas

Questão presente nas seguintes provas

Instrutor - Voleibol

50 Questões