
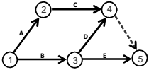
A figura acima representa uma rede PERT-CPM de um projeto, no qual as atividades A, B, C e D possuem a mesma duração de cinco dias, e a atividade E tem uma duração de quatro dias. O cronograma foi elaborado considerando-se que as atividades devem começar o mais cedo possível. Com base nessas informações, assinale a opção correta.