Magna Concursos
1406892 Ano: 2015
Disciplina: Engenharia Eletrônica
Banca: DIRENS Aeronáutica
Orgão: CIAAR

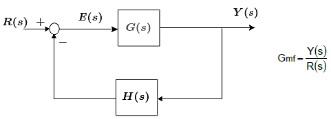
O sistema representado pela figura abaixo é um controle em malha fechada.

Enunciado 1406892-1

Qual é a função de transferência deste sistema?

 

Provas

Questão presente nas seguintes provas

EAOEAR - Engenharia Eletrônica

60 Questões