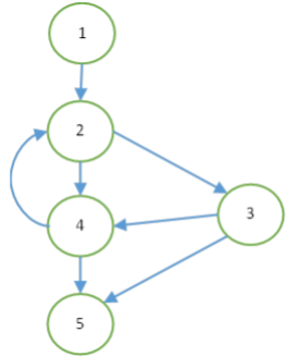
Para que um sistema seja testado adequadamente, é preciso realizar uma quantidade mínima de testes. Para apoiar essa definição, foi criada a Complexidade Ciclomática de McCabe, com fundamentação na teoria dos grafos. Essa técnica define uma métrica de software que fornece uma medida quantitativa da complexidade lógica de um programa, apresentando um limite superior para a quantidade de casos de testes de software que devem ser conduzidos.
A Complexidade Ciclomática pode ser calculada tanto pelo número de regiões quanto pelo número de arestas e nós.
